Kunci Jawaban
10+ Soal & Kunci Jawaban SIMAK UI Matematika, Bahasa Indonesia, Bahasa Inggris, Perjalanan ke Mars
Simak 10 butir lebih contoh soal dan kunci jawaban SIMAK UI, contoh bagian tes Matematika, Bahasa Inggris dan Bahasa Indonesia
Editor: Talitha Desena
TRIBUNNEWSMAKER.COM - Berikut ini 10 lebih contoh soal dan kunci jawaban Seleksi Masuk UI (SIMAK UI) tahun 2023, mata pelajaran Matematika, Bahasa Inggris dan Bahasa Indonesia, dimana para peserta dapat berlatih dengan artikel ini agar mendapat skoe memuaskan di SIMAK UI.
Ini dia 10 lebih soal dan kunci jawaban SIMAK UI alias Seleksi Masuk UI tahun 2023, pelajaran Matematika, Bahasa Indonesia, Bahasa Inggris, dimana para peserta diharapkan dapat mengerjakan contoh soal-soal dan semakin memahami materi untuk menjalani SIMAK UI.
Matematika
Soal 1

Jawaban: (A) 2
Soal 2

Jawaban: (D) 13/2
Soal 3

Jawaban: (C) 2x² - 5x + 3
Baca juga: 145+ Soal & Kunci Jawaban Tes Tahap 2 Bahasa Inggris Rekrutmen Bersama BUMN 2023 & Kisi-kisi Lengkap
Baca juga: 25+ Soal & Kunci Jawaban Kompetensi Sains Madrasah Matematika MTs 2023, Berapa Harga Kipas Angin?
Soal 4

Jawaban: (E)
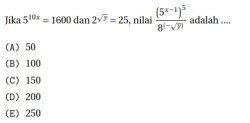
Soal 5

Jawaban: (D) 200
Bahasa Indonesia
Baca teks berikut untuk menjawab soal nomor 6–9!
Jawaban Bahasa Indonesia Kelas 11 Halaman 28 Apakah Gagasan Penulis Tertata Sistematetis dan Logis? |
![]() |
---|
Kunci Jawaban Bahasa Inggris Kelas 8 Halaman 93 Kurikulum Merdeka He Met Two Baby Chickens |
![]() |
---|
Jawaban Bahasa Inggris Kelas 12 Halaman 42 43 44 45: What is the Writer’s Communicative Purpose? |
![]() |
---|
Kunci Jawaban Bahasa Inggris Kelas 9 Halaman 128 129 While I Was Struggling to Put On the Mask |
![]() |
---|
Jawaban Bahasa Inggris Kelas 12 Halaman 57: What do Young People use Social Media For? |
![]() |
---|