kunci jawaban
Soal & Kunci Jawaban Matematika SMA Kelas 10 Kurikulum Merdeka: Uji Kompetensi Operasi Vektor
berikut ini adalah contoh soal dan kunci jawaban matematika SMA kelas 10 kurikulum merdeka: uji kompetensi operasi vektor
Editor: Tim TribunNewsmaker
TRIBUNNEWSMAKER.COM - Soal & Kunci Jawaban Matematika SMA Kelas 10 Kurikulum Merdeka: Uji Kompetensi Vektor
Sebelum melihat kunci jawaban, ada baiknya siswa mengerjakan dahulu soal latihan matematika SMA kelas 10 pada uji kompetensi bab 3 yang membahas mengenai operasi vektor dalam matematika dengan baik dan teliti terlebih dahulu. Kunci jawaban hanya boleh dipergunakan sebagai referensi jawaban. Berikut ini adalah soal dan kunci jawaban matematika SMA kelas 10
uji kompetensi bab 3 halaman 94 Kurikulum Merdeka:
Soal Uji Kompetensi Halaman 94:
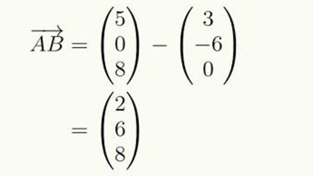
1. Suatu vektor memiliki ujung di A(3, –6,0) dan pangkal di B(5, 0, 8).
Nyatakan vektor AB dalam komponen-komponennya dan tentukan panjang vektor.
Kunci Jawaban no 1
Vektor AB = (5 0 8) – (3 -6 0) = (2 6 8)
Panjang vektor

2. Apakah penjumlahan dua vektor dengan besar berbeda dapat menghasilkan vektor nol?
Kunci Jawaban no 2:
Penjumlahan dua vektor yang menghasilkan nol haruslah mempunyai besar yang sama tetapi arah yang berlawanan.
3. Apakah penjumlahan tiga vektor dengan besar berbeda dapat menghasilkan vektor nol?
Kunci Jawaban no 3:
Penjumlahan tiga vektor yang besarnya berbeda dapat menghasilkan vektor nol.
4. Kalian naik sepeda dengan kelajuan 2 m/detik ke utara. Angin bertiup ke selatan dengan kelajuan 0,4 m/detik. Ke arah mana kalian bergerak dan berapa kelajuannya?
Kunci Jawaban Bahasa Indonesia Kelas 5 Halaman 37 Terdapat 30 Ekor Kelinci di Seluruh Penjuru Dunia |
![]() |
---|
Kunci Jawaban IPA Kelas 8 Halaman 64 Di Manakah Letak Ventrikel Pada Gambar di Bawah Ini? |
![]() |
---|
Kunci Jawaban IPS Kelas 8 Halaman 54 Tuliskan Esai Tentang Keberadaan Candi Hindu-Buddha |
![]() |
---|
Kunci Jawaban Bahasa Inggris Kelas 9 Halaman 125 Why did Monita go to Manado? |
![]() |
---|
Kunci Jawaban Bahasa Indonesia Kelas 4 SD Halaman 43 Arti Istilah Dalam Cerita Ada Vampir di Rumah |
![]() |
---|